Тестирование SCSI RAID-контроллеров и SCSI-дисков
В тестовой лаборатории «КомпьютерПресс» проведено тестирование шести RAID-контроллеров в совокупности с четырьмя наборами жестких дисков с интерфейсом SCSI. Тестировались RAID-контроллеры Adaptec SCSI RAID 2120S, Adaptec SCSI RAID 2200S, Adaptec SCSI RAID 3210S, AMI MegaRAID Elite1600, Intel SRCU32, LSI MegaRAID SCSI 320-2, Mylex eXtremeRAID 2000 с дисками Fujitsu MAM3367MC U160 SCSI 36.7Gb, IBM Ultrastar 36Z15 IC35L036UCPR15-X U160 SCSI 36.7Gb, Seagate Cheetah X15 36LP ST336752LC U160 SCSI 36.7Gb, Seagate Cheetah 15K.3 ST318453LW U320 SCSI 18.4Gb.
Введение
о
времени последнего тестирования в нашей лаборатории жестких дисков с интерфейсом
SCSI каких-либо революционных изменений на рынке SCSI-винчестеров не произошло.
Естественно, что все компании за прошедший год анонсировали новые модели дисков,
но эти инновации были связаны прежде всего с поддержкой нового интерфейса Ultra
SCSI 320 с максимальной пропускной способностью 320 Мбайт/с. Остальные же характеристики
жестких дисков не претерпели существенных изменений.
Аналогичная ситуация наблюдается и на рынке RAID-контроллеров. В модельном ряду начали появляться контроллеры с интерфейсом Ultra SCSI 320. Конечно, поддержка нового интерфейса сама по себе еще не означает роста производительности — дисковые подсистемы с интерфейсом Ultra SCSI 160 при определенных условиях позволяют получить не менее производительное решение. В то же время очевидно, что новый интерфейс позволяет строить дисковые подсистемы с большим запасом по масштабируемости. К примеру, скорость линейного чтения современных SCSI-дисков составляет примерно 50 Мбайт/с. Теоретически пропускная способность шины станет узким местом только при использовании более трех дисков на одном канале, объединенных в RAID-массив. В реальных же условиях, учитывая, что запросы на чтение и запись носят преимущественно не последовательный, а случайный характер, можно ожидать, что влияние пропускной способности шины начнет сказываться при объединении в RAID-массив пяти и более дисков на одном канале. Поэтому актуальность использования RAID-контроллеров и дисков с интерфейсом Ultra SCSI 320 проявляется при построении дисковых подсистем с количеством дисков более пяти на одном канале RAID-контроллера.
По вышеизложенным причинам мы сочли возможным объединить в нашем тестировании RAID-контроллеры как с интерфейсом Ultra SCSI 160, так и с интерфейсом Ultra SCSI 320. Мы также использовали SCSI-диски с двумя различными интерфейсами. Однако, учитывая, что в тестировании применялись наборы всего из четырех дисков, которые, кроме того, группировались по два на каждый канал RAID-контроллера, пропускная способность интерфейса Ultra SCSI 160 не являлась узким местом в тестах и не могла повлиять на результаты тестирования.
Прежде чем переходить к описанию методики и результатов тестирования, хотелось бы изложить его основную идею. В мартовском и апрельском номерах журнала КомпьютерПресс были опубликованы отчеты тестовой лаборатории о тестировании серверов отечественных и иностранных производителей. Как показало наше исследование, при использовании серверов в качестве файл-серверов максимальный сетевой трафик определяется в первую очередь производительностью дисковой подсистемы сервера. Проанализировав результаты тестирования, мы пришли к выводу, что производительность дисковой подсистемы сервера зависит не только от используемых RAID-контроллера и набора SCSI-дисков, но и от удачного сочетания RAID-контроллера и набора жестких дисков. К примеру, два разных набора жестких дисков ведут себя иначе с одним и тем же RAID-контроллером.
Говоря о производительности жесткого диска, имеют в виду его производительность, измеряемую тестовыми утилитами без использования RAID-контроллера, то есть при подключении тестируемого диска непосредственно к SCSI-контроллеру. Правда, в таком способе тестирования есть свои подводные камни. Дело в том, что результаты этого тестирования нельзя просто экстраполировать на набор нескольких дисков, объединяемый с помощью RAID-контроллера в дисковый массив. А ведь именно такое решение наиболее актуально при построении дисковых серверных подсистем. В этом смысле применение более производительных дисков не означает, что в сочетании с RAID-контроллером можно будет получить более производительное решение, чем при использовании с тем же контроллером набора менее производительных дисков.
Тестирование RAID-контроллеров для сравнения их друг с другом без привязки к набору используемых жестких дисков вообще лишено какого-либо смысла. То есть в принципе нельзя абстрактно утверждать, что один RAID-контроллер производительнее другого, не оговаривая при этом о сочетании с каким набором дисков идет речь. Поэтому еще раз подчеркнем, что при сравнении дисковых подсистем нужно говорить именно о сочетании определенного RAID-контроллера с конкретным набором дисков.
Этот вывод, к которому мы пришли в ходе тестирования серверов, лег в основу проведения данного тестирования, главной задачей которого являлся поиск оптимального сочетания (этакой «сладкой парочки») RAID-контроллера и набора жестких дисков. Мы попытались не просто сравнить различные решения и выбрать наиболее производительное, а подобрать каждому RAID-контроллеру оптимальный набор SCSI-дисков.
Методика тестирования
ля
тестирования RAID-контроллеров в сочетании с различными наборами SCSI-дисков
мы использовали тестовую утилиту IOmeter. Мы преднамеренно не указываем ее версию,
поскольку даже последняя версия, которую удалось найти в Интернете, страдает
«симптомом 2 ГГц». То есть при использовании утилиты IOmeter на компьютерах
с тактовой частотой процессора свыше 2 ГГц результаты тестирования становятся
отрицательными и, следовательно, некорректны. О причинах такого поведения утилиты
мы уже писали1, поэтому лишь упомянем, что обновленную версию данной утилиты
с исправленными ошибками можно скачать с нашего сайта (http://www.compress.ru/)
или найти на компакт-диске, который прилагался к февральскому номеру журнала.
Утилита IOmeter является синтетическим тестом, что позволяет прецизионно настраивать тест на измерение производительности жестких дисков при выполнении ими специфических задач. Утилита работает с неразбитыми на логические разделы жесткими дисками, поэтому результаты тестирования не зависят от файловой структуры, а влияние операционной системы минимально.
Утилита IOmeter позволяет создавать разнообразные модели доступа к дисковой подсистеме, причем для конкретной модели доступа можно менять следующие параметры:
- размер запроса на передачу данных (Transfer Request Size);
- процентное распределение случайных/последовательных запросов (Percent Random/Sequential Distribution);
- процентное распределение операций чтения/записи (Percent Read Write Distribution);
- процент доступа по данному запросу (Percent of Access Specification);
- количество одновременно выполняемых отдельных операций ввода/вывода (# of Outstanding I/Os).
Учитывая, что диски с SCSI-интерфейсом предназначены в первую очередь для использования в серверах, при тестировании дисков мы использовали различные модели доступа, типичные для серверов. Таких моделей было три: FileServer, WebServer и DataBase.
Модель доступа FileServer создает нагрузку на дисковую подсистему, типичную для файл-сервера. Характерно, что в этой модели рассматриваются различные по размеру запросы на чтение и запись. Размер запроса варьируется от 512 байт до 64 Кбайт, а доля тех или иных запросов в общей модели доступа задается весовым коэффициентом участия данного запроса (процент доступа по данному запросу). Если, к примеру, запросу размером 4 Кбайт присваивается процент доступа по данному запросу равный 60%, то это означает, что из 100 запросов 60 будут иметь размер 4 Кбайт. В модели доступа FileServer 80% всех операций ввода-вывода приходится на чтение и только 20% — на запись. Причем все операции ввода-вывода имеют стопроцентно случайный характер, что вполне типично для файл-серверов. Характеристики модели доступа FileServer приведены в табл. 1.
Таблица 1. Характеристики модели доступа FileServer
| Размер запроса | Весовой коэффициент запроса, % | Процент операций чтения | Процент операций записи | Процент случайных обращений |
|---|---|---|---|---|
| 512 байт | 10 | 80 | 20 | 100 |
| 1 Кбайт | 5 | 80 | 20 | 100 |
| 2 Кбайт | 5 | 80 | 20 | 100 |
| 4 Кбайт | 60 | 80 | 20 | 100 |
| 8 Кбайт | 2 | 80 | 20 | 100 |
| 16 Кбайт | 4 | 80 | 20 | 100 |
| 32 Кбайт | 4 | 80 | 20 | 100 |
| 64 Кбайт | 10 | 80 | 20 | 100 |
Модель доступа WebServer определяет типичную нагрузку на дисковую подсистему сервера при его эксплуатации в режиме Web-сервера. В данной модели также характерны различные по размеру запросы, но все запросы имеют стопроцентное случайное распределение. Характеристики модели доступа Web-сервер приведены в табл. 2.
Таблица 2. Характеристики модели доступа WebServer
| Размер запроса | Весовой коэффициент запроса, % | Процент операций чтения | Процент случайных обращений |
|---|---|---|---|
| 512 байт | 22 | 100 | 100 |
| 1 Кбайт | 15 | 100 | 100 |
| 2 Кбайт | 8 | 100 | 100 |
| 4 Кбайт | 23 | 100 | 100 |
| 8 Кбайт | 15 | 100 | 100 |
| 16 Кбайт | 2 | 100 | 100 |
| 32 Кбайт | 6 | 100 | 100 |
| 64 Кбайт | 7 | 100 | 100 |
| 128 Кбайт | 1 | 100 | 100 |
| 512 Кбайт | 1 | 100 | 100 |
Модель доступа DataBase создает нагрузку на дисковую подсистему, типичную для сервера баз данных. Данная модель характеризуется только одним размером запроса в 8 Кбайт. При этом предполагается, что все операции чтения и записи имеют стопроцентно случайный характер, а доля операций чтения составляет 67% (табл. 3).
Таблица 3. Характеристики модели доступа DataBase
| Размер запроса | Процент операций чтения | Процент операций записи | Процент случайных обращений |
|---|---|---|---|
| 8 Кбайт | 67 | 23 | 100 |
Для того чтобы более детально изучить возможности дисковых подсистем при записи и чтении, исследовались также их возможности в режимах стопроцентно последовательного и стопроцентно случайного доступа при стопроцентном чтении и стопроцентной записи, то есть создавалось еще четыре различные модели доступа: Random Read, Random Write, Sequential Read и Sequential Write. Модель доступа Random Read характеризуется стопроцентно случайным чтением данных; модель доступа Random Write — стопроцентно случайной записью данных; модель доступа Sequential Read — стопроцентно последовательным чтением данных, а модель доступа Sequential Write — стопроцентно последовательной записью данных. Характеристики всех перечисленных моделей доступа представлены в табл. 4.
Таблица 4. Характеристики модели доступа последовательного и случайного чтения/записи
| Модель доступа | Процент операций чтения | Процент операций записи | Процент случайных обращений |
|---|---|---|---|
| Random Read | 100 | 0 | 100 |
| Random Write | 0 | 100 | 100 |
| Sequential Read | 100 | 0 | 0 |
| Sequential Write | 0 | 100 | 0 |
При использовании моделей доступа последовательного и случайного чтения/записи (Random Read, Random Write, Sequential Read и Sequential Write) размер запроса не является фиксированной величиной и изменяется от 512 байт до 256 Кбайт так, что размер каждого следующего запроса вдвое больше предыдущего. То есть для каждой модели доступа скорость выполнения дисковых операций вычисляется для размеров запроса равных 512 байт, 1, 2, 4, 8, 16, 32, 64, 128 и 256 Кбайт. Поэтому результаты тестирования при использовании моделей доступа Random Read, Random Write, Sequential Read и Sequential Write представляются в виде графика зависимости скорости выполнения дисковых операций от размера запроса.
Для всех эмулируемых моделей доступа мы устанавливали одно и то же количество одновременно выполняемых отдельных операций ввода-вывода (# of Outstanding I/Os) равное 4. Конечно, если использовать большее значение # of Outstanding I/Os, то и скорость выполнения дисковых операций окажется выше, однако в данном случае мы преследовали задачу не столько получить максимальное значение, допустимое для той или иной дисковой подсистемы, сколько приблизить по возможности нашу эмуляцию дисковых операций к реальным условиям. Как показывает практика, для подавляющего большинства серверных дисковых подсистем значение # of Outstanding I/Os не превосходит 2-5 в режиме максимальной нагрузки, в чем можно убедиться, запустив утилиту Performance и используя счетчик Avg. Disk Queue Length для жесткого диска. Именно поэтому мы и выбрали значение # of Outstanding I/Os равное 4 для всех моделей доступа.
Измеряемым параметром во всех тестах являлась скорость выполнения дисковых операций в Мбайт/с.
Как уже отмечалось, при тестировании дисковых подсистем мы использовали с каждым RAID-контроллером набор из четырех одинаковых SCSI-дисков. При этом с двухканальным RAID-контроллером диски группировались по два на каждый канал и устанавливались в две корзины, каждая из которых подключалась к одному из каналов RAID-контроллера, а при применении одноканального RAID-контроллера все четыре диска устанавливались в одну корзину, которая подсоединялась к одному каналу контроллера.
При тестировании мы использовали один-единственный RAID-уровень массива — Level 5 как наиболее распространенный в современных дисковых серверных подсистемах начального уровня. Этот уровень сочетает в себе как высокую производительность, возрастающую пропорционально количеству объединяемых в массив дисков, так и необходимую степень надежности хранения данных за счет относительно небольшой избыточности.
На всех RAID-контроллерах устанавливался размер страйп-блока равный 64 Кбайт. Кроме того, все RAID-контроллеры тестировались в двух режимах кэширования данных при их записи на диск: Write Back, то есть отложенная запись, и Write Through, то есть сквозная запись. Все остальные настройки RAID-контроллеров использовались по умолчанию.
При тестировании операционная система Windows 2000 Server SP3 устанавливалась на отдельном SCSI-диске, подсоединяемом к SCSI-контроллеру с интерфейсом SCSI Ultra 320 на системной плате сервера. Для тестирования мы использовали сервер Desten Navigator DX 7280 (533) производства компании ЗАО «Дестен Компьютерс».
Двухпроцессорный сервер Desten NavigatorDX728 (533) с процессором Intel Xeon 2,8 ГГц собран на базе системной платы Intel SE7501BR2 с набором микросхем Intel E7501, поддерживающим 533-мегагерцевую системную шину. При тестировании мы использовали 2 Гбайт DDR266 памяти. Отметим также, что все тестируемые RAID-контроллеры устанавливались в слот PCI-X (64 бит/133 МГц), обратно совместимый с PCI-шиной 64 бит/66 МГц.
Результаты тестирования
Прежде чем переходить к описанию результатов тестирования для каждого RAID-контроллера в отдельности, рассмотрим общие важные выводы, полученные нами в ходе тестирования.
Как уже отмечалось, кроме эмуляции работы дисковых подсистем, типичных для файл-сервера, Web-сервера и сервера баз данных, нами было проведено тестирование контроллеров при различных размерах запросов в режимах выборочной и последовательной записи и чтения. При этом мы изначально предполагали, что, используя данные о работе RAID-контроллера с различными по размеру запросами, можно будет спрогнозировать производительность контроллера в любой модели доступа, используя различные весовые коэффициенты запросов.
Рассмотрим типичный пример эмуляции режима работы файл-сервера. В данном случае используется восемь различных по размеру запросов с разными весовыми коэффициентами (табл. 1) при полностью случайном доступе. В ходе тестирования контроллера с различными по размеру запросами в режиме стопроцентно случайного доступа при записи и чтении данных мы получили следующие результаты (табл. 5).
Таблица 5. Результаты тестирования контроллера в режимах чтения и записи данных при полностью случайном доступе при различных размерах запросов
| Размер запроса | Режим чтения, Мбайт/с | Режим записи, Мбайт/с |
|---|---|---|
| 512 байт | 0,176 | 0,123 |
| 1 Кбайт | 0,349 | 0,247 |
| 2 Кбайт | 0,693 | 0,484 |
| 4 Кбайт | 1,447 | 0,930 |
| 8 Кбайт | 2,767 | 1,715 |
| 16 Кбайт | 5,095 | 2,960 |
| 32 Кбайт | 8,807 | 4,705 |
| 64 Кбайт | 13,971 | 6,644 |
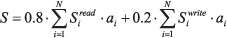
Используя весовые коэффициенты для каждого размера запроса (табл. 1), можно попытаться предсказать, какова будет производительность контроллера в режиме эмуляции файл-сервера. Для этого необходимо воспользоваться следующей очевидной формулой:

где S — производительность контроллера (в Мбайт/с) для модели доступа FileServer;
Siread скорость чтения при i-м размере запроса;
Siwrite скорость записи при i-м размере запроса;
ai весовой коэффициент участия i-го запроса.
Коэффициенты 0,8 и 0,2 в данной формуле отражают долю операций чтения (80%) и операций записи (20%), что характерно для режима эмуляции FileServer.
Для вышеприведенного примера расчет по данной формуле дает результат 2,68 Мбайт/с.
Однако при тестировании того же RAID-контроллера при эмуляции режима доступа FileServer, то есть когда в саму модель доступа к дисковой подсистеме закладываются различные по размеру запросы с разными весовыми коэффициентами при выполнении в заданной пропорции операций записи и чтения, результаты тестирования получаются совершенно иными. Например, для рассмотренного выше примера результат составляет 1,9 Мбайт/с, то есть на 40% ниже ожидаемого.
Аналогичная ситуация наблюдается и для других моделей доступа — WebServer и DataBase. При этом характерно, что расчетный (ожидаемый) результат производительности контроллера может оказаться как выше, так и ниже реально наблюдаемого. Проанализировав для всех контроллеров разницу между действительной и расчетной производительностью для всех моделей доступа, мы пришли к выводу, что какой-либо закономерности в данном случае не прослеживается. Расчетный результат производительности для различных контроллеров при одной и той же модели доступа может оказаться как выше, так и ниже реально наблюдаемого результата.
Итак, одновременное использование различных по размеру запросов при эмуляции того или иного режима доступа приводит к тому, что эти запросы коррелируют друг с другом таким образом, что результат, получаемый для RAID-контроллера, отличается от результата, который можно рассчитать на основании данных о производительности контроллера при работе с отдельными запросами. В случае использования модели доступа FileServer это означает, что для корректного расчета производительности контроллера необходимо в рассмотренной выше формуле учесть еще и корреляционные члены:

где коэффициенты c xij(Siread, Siread) определяют корреляционные соотношения между запросами различной длины.
Конечно, использовать данную формулу для практических вычислений не имеет смысла, поскольку сами корреляционные коэффициенты не известны. Единственное, что мы хотим подчеркнуть, приводя столь длинную формулу, — это тот факт, что знания одних лишь скоростей чтения и записи при различных размерах запросов (Siread, Sjwrite) еще не достаточно, чтобы можно было предсказать поведение контроллера в модели доступа, когда одновременно используется несколько запросов. Пожалуй, это самый важный вывод, к которому мы пришли в ходе тестирования.
После общих замечаний, справедливых для всех контроллеров, перейдем к подробному рассмотрению результатов тестирования каждого контроллера в отдельности.
RAID-контроллеры
ля
тестирования мы использовали следующие RAID-контроллеры: Adaptec SCSI RAID 2120S,
Adaptec SCSI RAID 2200S, Adaptec SCSI RAID 3210S, AMI MegaRAID Elite1600, Intel
SRCU32, LSI MegaRAID SCSI 320-2, Mylex eXtremeRAID 2000. Технические характеристики
RAID-контроллеров приведены в табл. 6.
Таблица 6. Технические характеристики RAID-контроллеров
| Adaptec SCSI RAID 2120S | Adaptec SCSI RAID 2200S | Adaptec SCSI RAID 3210S | AMI MegaRAID Elite1600 | Intel SRCU32 | LSI MegaRAID SCSI 320-2 | Mylex eXtremeRAID 2000 | |
|---|---|---|---|---|---|---|---|
| Сайт производителя | adaptec.com/ | adaptec.com/ | adaptec.com/ | lsilogic.com/ | intel.com/ | lsilogic.com/ | mylex.com/ |
| Текущая версия драйвера под Windows 2000 | v. 4.0.5767 | v. 4.0.5767 | v. 5.3.0.2 | v. 5.33.0.0 | v. 5.3.1.1 | v. 6.27.32.0 | v. 6.3.10.0 |
| Объем кэш-памяти в тестируемой конфигурации, Мбайт | 64 | 64 | 32 | 128 | 128 | 256 | 256 |
| Микропроцессор | Intel 80302 (66 МГц) | Intel 80303 (100 МГц) | Intel 80303 (100 МГц) | Intel i960 (100 МГц) | Intel 80303 (100 МГц) | Intel 80303 (100 МГц) | StrongARM SA110 (233 МГц) |
| Количество каналов | 1 | 2 | 2 | 2 | 2 | 2 | 4 |
| Интерфейс | Ultra 320 SCSI | Ultra 320 SCSI | Ultra 160 SCSI | Ultra 160 SCSI | Ultra 160 SCSI | Ultra 320 SCSI | Ultra 160 SCSI |
| Количество поддерживаемых дисков | 15 | 15 на канал | 15 на канал | 32 на логический массив, 40 на контроллер | 15 на канал | 30 на логический массив, 40 на контроллер | 15 на канал, 60 на контроллер |
| Максимальная скорость передачи данных (с учетом всех каналов), Мбайт/с | 320 | 640 | 320 | 320 | 320 | 640 | 640 |
| Поддерживаемые RAID-уровни | 0, 1, 10, 5, 50, JBOD | 0, 1, 10, 5, 50, JBOD | 0, 1, 10, 5, 50, JBOD | 0, 1, 3, 5, 10, 30, 50 | 0, 1, 4, 5, 10 | 0, 1, 10, 5, 50 | 0, 1, 10, 3, 5, 10, 30, 50, JBOD |
| Кэш-память | 64 Мбайт (интегри-рованная) | 64 Мбайт (интегри-рованная) | До 256 Мбайт | До 128 Мбайт | До 256 Мбайт | До 256 Мбайт | До 64 Мбайт |
| Тип PCI-шины | 64 бит/66 МГц | 64 бит/66 МГц | 64 бит/66 МГц | 64 бит/66 МГц | 64 бит/66 МГц | 64 бит/66 МГц | 64 бит/66 МГц |
| Количество внутренних разъемов | Один 68-контактный (high-density) | Два 68-контактных (high-density) | Два 68-контактных (high-density) | Два 68-контактных (high-density) | Два 68-конта-ктных (high-density) | Два 68-контактных (high-density) | Два 68-контактных (high-density) |
| Количество внешних разъемов | Один 68-контактный (VHDCI) | Два 68-контактных (VHDCI) | Два 68-контактных (VHDCI) | Два 68-контактных (VHDCI) | Два 68-контактных (VHDCI) | Два 68-контактных (VHDCI) | Два 68-контактных (VHDCI) |
| Наличие BBU-модуля | Опционально | Опционально | Опционально | Опционально | Нет | Опционально | Опционально |
SCSI-диски
аждый
из данных RAID-контроллеров тестировался с четырьмя наборами SCSI-дисков: Fujitsu
MAM3367MC U160 SCSI 36.7Gb, IBM Ultrastar 36Z15 IC35L036UCPR15-X U160 SCSI 36.7Gb,
Seagate Cheetah X15 36LP ST336752LC U160 SCSI 36.7Gb, Seagate Cheetah 15K.3
ST318453LW U320 SCSI 18.4Gb. Технические характеристики тестируемых жестких
дисков представлены в табл. 7.
Таблица 7. Технические характеристики жестких дисков
| Характеристики SCSI-дисков | Fujitsu MAM3367MC U160 SCSI | IBM Ultrastar 36Z15 IC35L036UCPR15-X U160 SCSI | Seagate Cheetah X15 36LP ST336752LC U160 SCSI | Seagate Cheetah 15K.3 ST318453LW U320 SCSI |
|---|---|---|---|---|
| Емкость, Гбайт | 36,7 | 36,7 | 36,7 | 18,4 |
| Интерфейс | SCSI Ultra 160 | SCSI Ultra 160 | SCSI Ultra 160 | SCSI Ultra 320 |
| Скорость вращения, RPM | 15 000 | 15 000 | 15 000 | 15 000 |
| Количество пластин | 4 | 6 | 4 | 1 |
| Количество головок чтения/записи | 8 | 12 | 8 | 2 |
| Линейная плотность записи, бит/дюйм | 450 000 | 397 000 | Нет данных | Нет данных |
| Плотность размещения треков, трек/дюйм | 35 000 | 27 000 | Нет данных | Нет данных |
| Объем буфера, Мбайт | 8 | 4 | 8 | 8 |
| Внутренняя скорость передачи данных, Мбит/с | Нет данных | 453-647 | 522-709 | 609-891 |
| Среднее время доступа при чтении, мс | 3,5 | 4,2 | 3,6 | 3,6 |
| Среднее время доступа при записи, мс | 4,0 | Нет данных | 4,2 | 3,9 |
| Время доступа по дорожкам, мс | 0,4/0,6 (read/write) | 0,65 | 0,3/0,4 (read/write) | 0,2/0,4 (read/write) |
| Время доступа Full Stroke, мс | 8,0/9,0 (read/write) | 8,9 | Нет данных | Нет данных |
| Средняя задержка, мс | 2 | 2 | 2 | 2 |
Результаты тестирования
предлагаемом варианте статьи мы приводим лишь краткие результаты тестирования.
С более подробными результатами тестирования можно ознакомиться на нашем компакт-диске.
Выбор редакции
о
результатам проведенного тестирования знака «Выбор редакции» был удостоен
RAID-контроллер Adaptec SCSI RAID 3210S. Этот контроллер продемонстрировал наивысшую
производительность в режимах эмуляции файл-сервера и сервера баз данных в сочетании
с дисками Seagate Cheetah 15K.3 ST318453LW U320 SCSI в режиме отложенной записи.
Кроме того, в режиме эмуляции Web-сервера наиболее производительным также оказалось
сочетание контроллера Adaptec SCSI RAID 3210S с дисками Fujitsu MAM3367MC U160
SCSI в режиме сквозной записи.








